川南在线 发布时间:2023-07-09
根据《泸州市龙马潭区人民政府办公室关于印发〈龙马潭区2023年秋期全区义务教育阶段招生工作方案〉的通知》(泸龙府办函〔2023〕29号)文件相关要求,2023年7月8日,在区人大代表、区政协委员、区纪委监委驻区教育体育局纪检监察组、新闻媒体以及家长代表的监督和见证下,区教育体育局在玉带河学校组织开展了2023年龙马潭区主城区义务教育阶段学校现场摇号(购房类),现将摇号结果公示如下:
一、幼升小
(一)龙马高中学士山学校(54名)


(二)小街子小学校(46名)


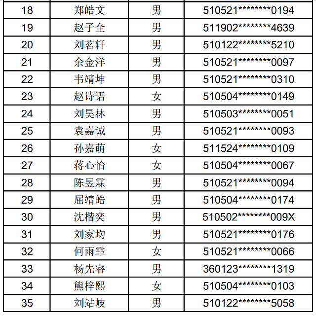
(三)泸州十八中(35名)


(四)龙马高中英才学校(145名)





二、小升初
(一)兆和学校(46名)


(二)泸州十二中(501名)

















温馨提示
若对公示信息有疑问,请咨询泸州市龙马潭区教育和体育局教育股。联系电话:0830—2522069。(工作日:周一至周五9:00—12:00,14:30—18:30)
(来源:泸州教育体育--龙马教育体育)
编辑:邱果
关注川南在线网微信公众号
长按或扫描二维码 ,获取更多最新资讯
其他