川南在线 发布时间:2023-07-05
7月3日日上午,江阳区大山坪街道、华阳街道、况场街道辖区公办幼儿园招生摇号录取现场会同时进行,主城区共有8所公办幼儿园通过现场摇号,录取幼儿705名。录取结果将以短信形式通知家长,7月10日按照被录取的幼儿园通知要求办理入园手续。

华阳街道辖区公办幼儿园招生摇号现场
当日上午,江阳区主城区8所公办幼儿园(泸州市第一中学校附属幼儿园、泸州市梓橦路学校附属幼儿园、泸州市龙腾路幼儿园、泸州市丹艳路幼儿园、泸州市景坡路幼儿园、泸州市康城路幼儿园、泸州市春华路幼儿园、泸州市云峰路幼儿园)在纪检监察部门及家长代表等的监督下分别进行了现场抽签。
现将抽中的幼儿名单公示如下:
泸州市第一中学校附属幼儿园

泸州市梓橦路学校附属幼儿园

泸州市龙腾路幼儿园

泸州市丹艳路幼儿园

泸州市景坡路幼儿园

泸州市康城路幼儿园

泸州市春华路幼儿园

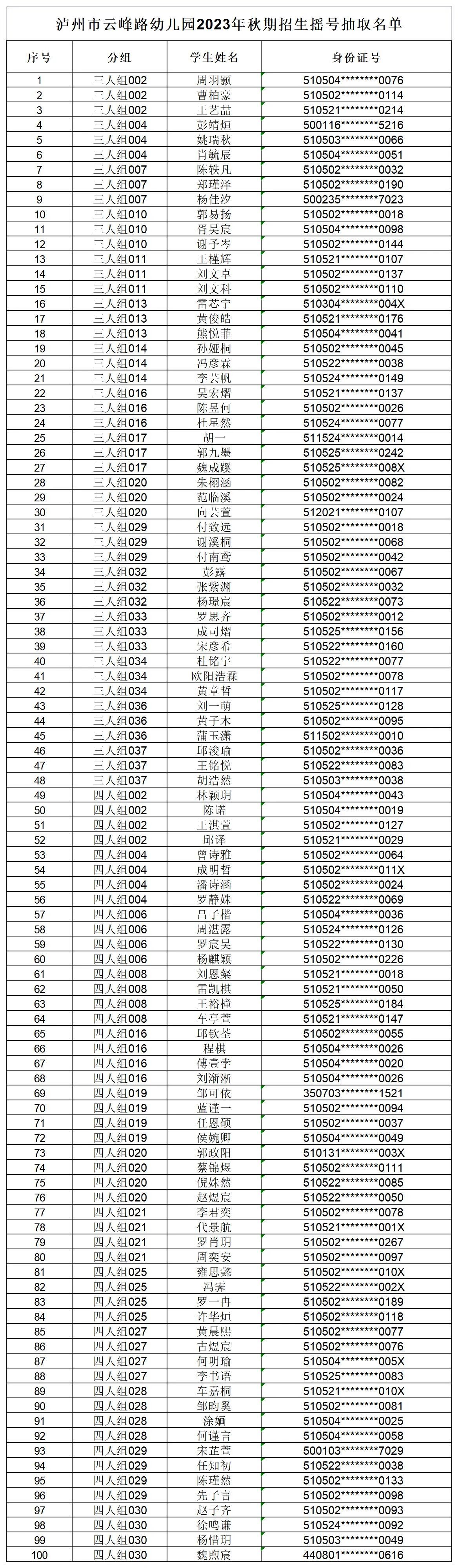
泸州市云峰路幼儿园

(来源:泸州教育体育-江阳教育体育)
编辑:李永鑫
关注川南在线网微信公众号
长按或扫描二维码 ,获取更多最新资讯
其他